На сайте используются cookies. Продолжая использовать сайт, вы принимаете условия
Ok
1 Подписывайтесь на Газету.Ru в MAX Все ключевые события — в нашем канале. Подписывайтесь!
Все новости
Новые материалы +

Ученые измерили радиоактивность пыли в трех городах России

Ученые измерили радиоактивность пыли на улицах Екатеринбурга, Ростова-на-Дону и Нижнего Новгорода. Выяснилось, что городская грязь имеет преимущественно природное, а не техногенное происхождение, а уровень радиации не превышает норму и не несет опасности для местных жителей. Исследование, выполненное при поддержке гранта Президентской программы Российского научного фонда, опубликовано в журнале Atmosphere.

Естественные радионуклиды — атомы, способные к радиоактивному распаду, — возникли одновременно с образованием Земли и находятся в воздухе, воде, земной коре. Из природных источников они могут переноситься в города вместе с ветром, дождевой водой, частицами почвы. При этом уран и торий — наиболее распространенные, именно они обуславливают почти всю природную радиоактивность. Контроль содержания как природных, так и техногенных радиоактивных изотопов необходим для обеспечения экологически безопасной среды обитания человека.

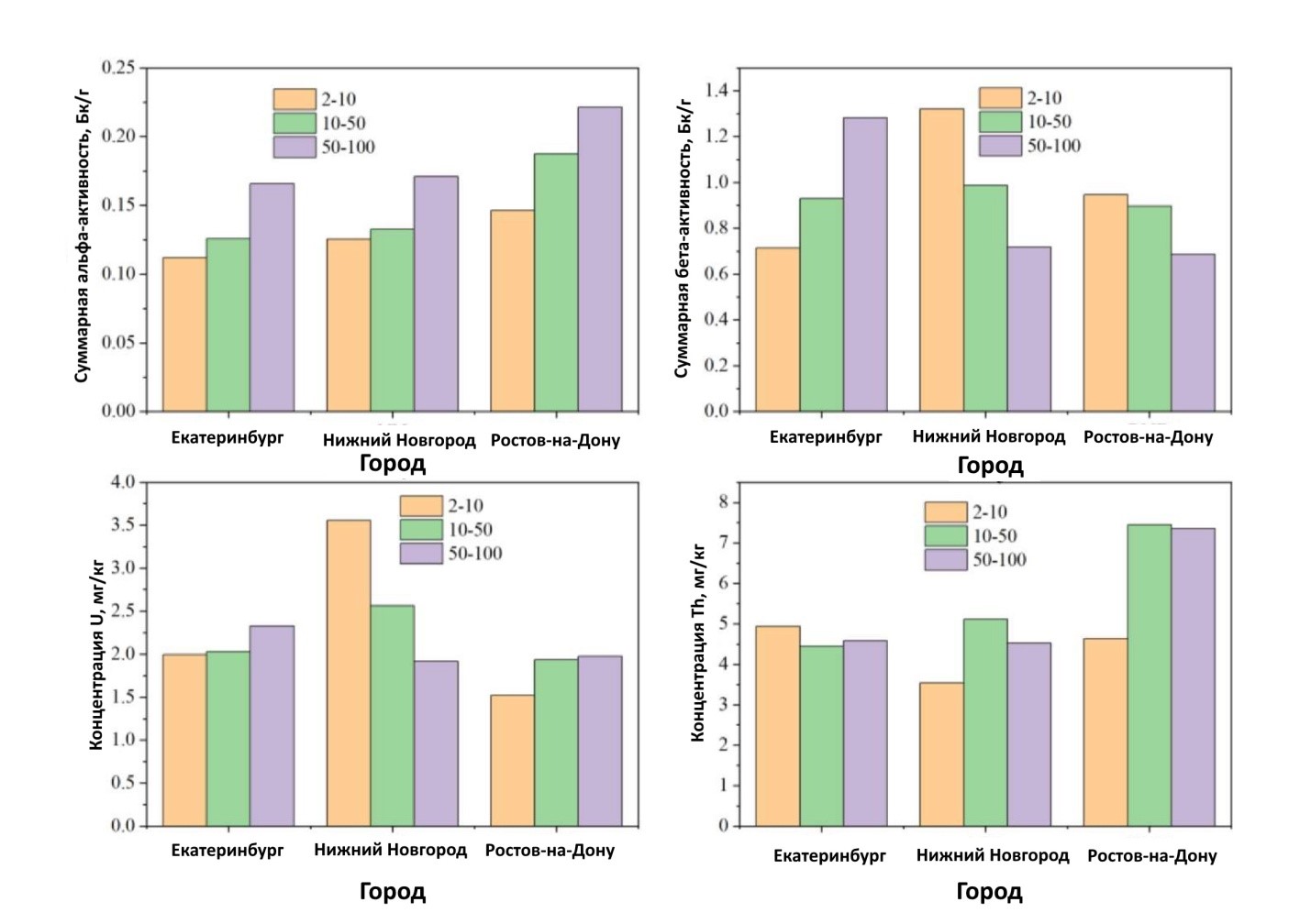
В городах радионуклиды могут находиться в так называемых поверхностных наносах — иными словами, городской грязи, — которые состоят из пыли, частиц почвы, строительных материалов и мелкого бытового мусора. Чтобы оценить уровень природной радиоактивности городской грязи, ученые из Уральского федерального университета (Екатеринбург) вместе с коллегами из Института промышленной экологии УрО РАН измерили ее суммарную альфа- и бета-радиоактивность. Исследование проводилось в трех российских городах, находящихся в разных природных климатических, геологических и экономических зонах: Екатеринбурге, Ростове-на-Дону и Нижнем Новгороде.

Образцы поверхностных наносов ученые собирали на обочинах дорог, на внутридворовых проездах, на парковках и из луж на территориях жилых кварталов. Перед анализом пробы просеивали и разделяли на фракции по размеру частиц. Самые мелкие фракции (от двух до десяти микрометров, то есть сравнимые с каплями аэрозоля) легко поднимаются в самые нижние слои атмосферы и поступают в организм человека при дыхании. Во всех фракциях экологи определяли содержание урана и тория.

Мелкопесчаная фракция наносов в городах имела более высокие уровни суммарной альфа-активности, чем пылевая фракция. Кроме того, химический анализ показал, что такие фракции содержат максимальное количество урана и тория. Можно сделать вывод о том, что альфа-активность современных наносов обусловлена распадом этих природных радионуклидов.

Размер частиц фракций, имеющих максимальную бета-активность, в городах отличался: для Екатеринбурга это также был песок, а для Нижнего Новгорода и Ростова-на-Дону — пыль. По-видимому, эти различия связаны с геологическими особенностями территорий, на которых расположены города. Источниками бета-излучения в пробах оказались природные радий и изотоп калий-40. Следует отметить, что обнаруженные содержания радионуклидов в исследованных компонентах окружающей среды не превышают нормы и не вносят вклада в радиоактивное облучение населения городов.

«Обнаруженные суммарная альфа-, и бета-активности радионуклидов в современных поверхностных наносах говорят скорее о том, что материал отложений в городской среде имеет природное происхождение, представлен частицами горных пород, строительных материалов, почв. Миграция и накопление радионуклидов происходит вместе с осадочным материалом в городах, независимо от климата, географического положения и промышленного развития. В настоящее время уровни содержания радионуклидов техногенного происхождения в городах России остаются низкими и не вносят вклада в облучение населения. Однако в 2007 году, когда мы начинали исследования городской грязи, уровни удельной активности техногенного радиоактивного изотопа цезий-137 в отложениях в лужах в некоторых жилых районах Екатеринбурга соответствовали низкоактивным радиоактивным отходам, но даже такие концентрации никак не влияли на дозовые нагрузки населения. Со временем в жилых дворах произошла замена грунтовых покрытий, новая застройка, перепланировка, уборка стала лучше, что в конечном итоге привело к снижению содержания цезия-137 в городе. Он помог нам определить возраст современных наносов на урбанизированной территории», — рассказывает руководитель гранта РНФ Андриан Селезнев, кандидат геолого-минералогических наук, старший научный сотрудник Института промышленной экологии УрО РАН.

В городах России существует проблема пылевого загрязнения, которое служит носителем тяжелых металлов, патогенов, вирусов, а в случае аварии на радиационном объекте — и радиоактивного загрязнения. Все это заставляет задуматься о возможных вариантах решения проблемы. Чтобы бороться с большим количеством пылящих поверхностей, эрозией почв и грунтов, необходим комплекс мер по совершенствованию благоустройства городов. Например, одним из значимых мероприятий был бы запрет парковки автотранспорта на газонах в городах, а также пересмотр регламентов проведения земляных работ с обязательным складированием грунта в короба и его укрытием от атмосферных осадков.

Новости и материалы
Россиянин незаконно легализовал в стране почти 3 тысячи мигрантов и получил срок
Рютте обвинил Россию, Иран и Китай в стремлении к конфронтации с НАТО
В Ивановской области заподозрили экс-зампреда правительства в превышении полномочий
За пять часов российские военные уничтожили 40 БПЛА ВСУ над российскими регионами
Apple повысит цены в России на платные сервисы и приложения в App Store
Главный неонатолог Минздрава РФ вылетел в Новокузнецк
Недовольные фанаты испортили планы AYANEO по выпуску смартфона
Временного поверенного и посла Ирана вызвали в МИД Дании и Британии из-за протестов
В новокузнецком роддоме женщина забеременела после пятого ЭКО, но потеряла ребенка
Пара отменила свадьбу за четыре месяца до даты из-за болезни любимой собаки
Москвичи спасли робота-доставщика, застрявшего на дороге после масштабного снегопада
В МИД Польши рассказали о состоянии консульства страны в Одессе
В МИД РФ обратились к находящимся в Иране россиянам
Поплавская назвала штраф Гудкову насмешкой над миллионами русских
«Не знал, что пришел тренировать детский сад»: что сказал Алонсо игрокам «Реала»
Блогер Илья Мэддисон заявил что, российская игра «Бесконечное лето 2» будет отвратительной
В НАТО заявили об истощении запасов оружия для Украины в Евросоюзе
Пациентка новокузнецкого роддома обвинила врача в домогательствах
Все новости